首页 新闻 会员 周边

spl计算线性趋势,报表或者仪表板中的统计图如何显示趋势线?

0
[已解决问题] 解决于 2025-12-05 10:06

spl计算线性趋势。报表或者仪表板中的统计图如何显示趋势线?如何在后台对数据进行计算?

石葡萄的主页 石葡萄 | 菜鸟二级 | 园豆:334
提问于:2025-09-11 09:55
< >
分享
最佳答案
0

业务背景
Excel中可以为统计图添加趋势线,常用的线性趋势,如下图0b230802f654f01db5d9dc4e98507bf

在报表或者仪表板中的统计图需要显示趋势线的需求,需要在后台对数据进行计算。较理想的方式就是通过spl计算线性趋势数据。
实现方式
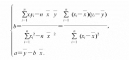
1、 首先找到线性趋势计算公式,如下图分别是斜率和截距的公式,线性趋势=斜率*X+截距!
5b509a3aaa6f482c132e15a20d10d96

2、 编写spl脚本实现线性趋势计算!
79ebde33a41b99ad8ed39ccf10513ed

奖励园豆:5
绿草莓 | 菜鸟二级 |园豆:400 | 2025-09-12 10:11
清除回答草稿
   您需要登录以后才能回答,未注册用户请先注册